Turkish Airlines авиакомпаниясеннән Казаннан очышларга кышкы тәкъдимнәр билгеле булды

2020 елның 27 ноябре, җомга

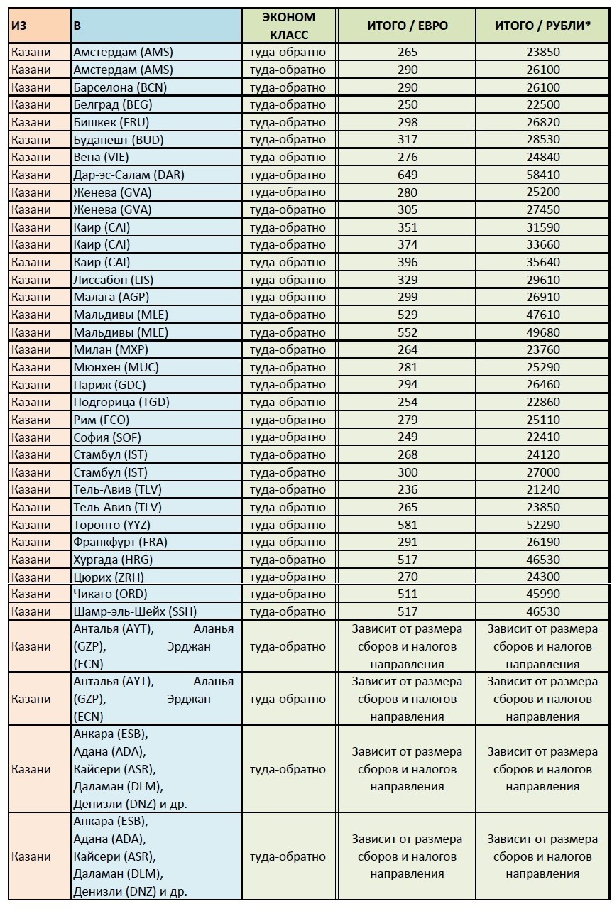
Бүген Turkish Airlines авиакомпаниясеннән Казаннан дөньяның 30дан артык шәһәренә очу өчен Истанбул аэропортында уңайлы күчеп утыру шартлары тудырылган кышкы тәкъдимнәр билгеле булды. Махсус тәкъдимдә Казаннан берничә юнәлеш катнаша. Сумма якынча күрсәтелгән, евро курсына, шулай ук җыемнар һәм салымнарга бәйле рәвештә үзгәреп торырга мөмкин. Тарифның булуы рейслар йөкләнешенә бәйле. Әлеге тарифлар онлайн каналлар аша сатып алу өчен генә билгеле: авиакомпаниянең web сайтында www.turkishairlines.com яки авиакомпаниянең мобиль кушымтасы аша. Авиабилетларны сату вакыты: 27/11/20 - 30/11/20. Сәяхәт итү вакыты: 27/11/20 - 31/05/21. Түбәндәге чорда Казаннан очып китүгә тарифлар билгеле түгел: 18/12/20 - 07/01/21 һәм 21/04/21 - 07/05/21. Түбәндәге чорда Казанга килүгә тарифлар билгеле түгел: 01/01/21 - 17/01/21 һәм 02/05/21 - 19/05/21. Сатуда әлеге тарифның булуы да рейсларның йөкләнешенә бәйле. Әлеге тарифларны куллану кагыйдәләре турында тулырак мәгълүматны 8-800-700-61-61 телефоны аша белергә мөмкин.

Фото: Руслан Гомәров.

ЯҢАЛЫКЛАРГА ЯЗЫЛУ
Сайттагы барлык материаллар лицензия буенча тәкъдим ителә:
Creative Commons Attribution 4.0 International