Стали доступны зимние предложения от авиакомпании Turkish Airlines на перелеты из Казани
27 ноября 2020 г., пятница
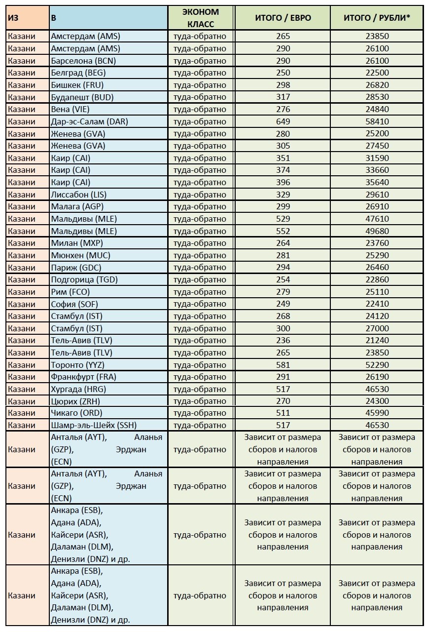
Сегодня стали доступны зимние предложения от авиакомпании Turkish Airlines с удобными стыковками в аэропорту Стамбула на перелёты из Казани в более чем 30 городов мира.
В специальном предложении участвуют ряд направлений из Казани.
Сумма в рублях указана ориентировочно, может варьироваться в зависимости от курса евро, а также сборов и налогов. Наличие тарифа зависит от загрузки рейсов.
Данные тарифы доступны к покупке только через онлайн каналы: на web сайте авиакомпании www.turkishairlines.com или через мобильное приложение авиакомпании.
Период продажи авиабилетов: с 27/11/20 по 30/11/20. Период осуществления путешествий: с 27/11/20 по 31/05/21.
С вылетом из Казани тарифы не доступны в период: с 18/12/20 по 07/01/21 и с 21/04/21 по 07/05/21. На прилёте в Казань тарифы не доступны в период: с 01/01/21 по 17/01/21 и с 02/05/21 по 19/05/21. Наличие данного тарифа в продаже также зависит от загрузки рейсов.
Подробную информацию о правилах применения данных тарифов можно узнать по телефону: 8-800-700-61-61.
Фото: Руслан Гумаров.
Материал предоставлен пресс-службой международного аэропорта "Казань"
22 декабря поезд № 6306 Свияжск – Казань до станции Юдино будет следовать действующим расписанием, далее измененным. Прибытие в Казань в 10.10 (на 13 минут позже).
Сейчас на автомобильных дорогах регионального значения сейчас работают 330 единиц снегоуборочной техники. Ночью дороги обслуживали 230 единиц. Израсходованы за сутки более 4200 тонн песко-соляной смеси, 111 тонн соли.
Сегодня министр транспорта и дорожного хозяйства РТ Фарит Ханифов провел совещание по зимнему содержанию автомобильных дорог. В мероприятии приняли участие заместитель начальника УГИБДД МВД по РТ Дамир Бикмухаметов, начальник Управления – главный государственный инспектор Госавтодорнадзора по РТ Радик Рамазанов, заместитель руководителя управления ФКУ «Волго-Вятскуправтодор» Азат Гатауллин, заместитель директора ГКУ «Главтатдортранс» Зульфат Ханмурзин, а также представители подрядных организаций.
ПОДПИСАТЬСЯ НА НОВОСТИ
Все материалы сайта доступны по лицензии:
Creative Commons Attribution 4.0 International
Обнаружили ошибку?
Выделите слово или предложение и нажмите CTRL+ENTER